MGT 100 Week 7
This version: April 2026 | License: CC BY 4.0 | We use javascript to track readership.
We welcome reuse with attribution. Please share widely.

When I say brand, most people think about logos. What are the hidden meanings in these images?

Gap launched a multimillion-dollar redesign in October 2010 and scrapped it six days later after a backlash. Why?

UC paid a relatively paltry $386k for this new logo, but we only kept it for five days. Why?

Westinghouse stopped making things decades ago, but the brand earns licensing revenue–100% margin. How can a brand outlive its company?

This case study is ancient but it makes a key point

The market reaction was as vicious as I’ve ever seen

CEO Reed Hastings apologized on video — but said Netflix would proceed with the split anyway, and introduced Qwikster CEO. Guess how many people saw this video on youtube?

These are called monthly brand tracking statistics, summarizing surveys from ~2,400 respondents/month. Affect means, How do you feel about Netflix? Buzz means, What have you heard about Netflix? Answers could be positive, negative, or nothing. First shift was the July price hike; the second was September’s rebrand. What do you see?

Note the vertical drop in the stock price on the rebranding date. The second, smaller drop was when they announced they were going ahead with it. Netflix dropped the rebrand shortly after
Coda: DVD-by-mail business fell by 90% from 2010 to 2019, then Netflix announced a gradual phasing out


Kraft quietly dropped Yellow 5 & 6, artificial flavors and preservatives–replacing them with paprika, annatto, and turmeric–then announced the change after 50 million boxes had shipped. “We’d invite you to try it, but you already have.”

The word “brand” comes from the Old West; it was a theft deterrent, but it came to mean much more

Memory is an “auto-associative network.” A brand is defined by the network of concepts it connects to in human memory, including the product category, among other associations
What can be branded? Physical goods, services, retailers, organizations, people, places, activities, even fictional characters

Why do firms spend so much to create these associations in consumers’ minds? “Search markets” vs. “Selection markets”

Firms often seek to influence their brand associations. Here, the Economist seeks to influence consumer perceptions of its trademark as a source of bright ideas. When will this work? It depends on what consumers will accept

Have you ever heard of “brand safety?” When Twitter/X’s new owner announced the shift to a “free speech platform” without content moderation, advertisers asked him to reconsider due to brand safety risks. Brands believe that proximity to unsavory content will damage brand associations
Credibility
Rapid communication
Personality & Self-expression
Gestalt

Bayer introduced Aspirin as one of the first patented drugs in the U.S. Aspirin went off patent in the 1950s, and Bayer lost trademark ownership due to genericization after that. Yet Bayer still charges a premium price over nearly identical competitors

This figure summarizes millions of shopping trips by head-of-household profession. Store-brand shares are high in headache remedies, due to price differentials. Yet household income barely predicts store-brand share. Medical professionals tend to buy store-brands more often; why?

Similar pattern in commodity foodstuffs (baking soda, plain salt, sugar, etc): Food service professionals more often avoid paying the brand premium due to high product knowledge
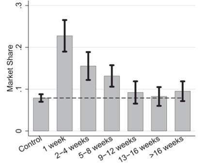
Some shoppers said they prefer the National Brand, but learned they prefer the Private Label (Q2=0, Q3=1); some said they prefer the Private Label, but learned they prefer the National Brand (Q2=1, Q3=0); the remainder confirmed their expectation. How do you think stated preferences changed in each case?

The intervention had a dramatic effect on stated preferences among those who said they preferred the National Brand, but then learned they preferred the Private Label. Recall that the Private Label is cheaper. Have you ever given yourself a blind taste test to learn your own preferences?

A cool thing about this study was that survey answers could be linked to frequent shopper cards, so researchers observed subsequent purchases. This is a large impact for a one-time intervention. Why did the effect fade with time?
Calls back to pricing discussion, how consumers infer unobserved product quality based on price and other signals that would be costly if the firm does not deliver as expected

Target: Busy 8-12-year-olds. Differentiation: no spoon. Intangibles: easy, cool, fun. Helped General Mills overtake Dannon in a mature product category.



Geico is in the business of pricing risk. Insurers commonly seek to humanize themselves to seem approachable. As a former Met Life employee told me: “We used to talk about it all the time. We would be nothing without that stupid dog.” (Snoopy)

Does anyone here have a brand tattoo? What do these tattoos say about their wearers? About their brand relationships? We are getting back to the original definition of branding
Best practice: match brand personality to value proposition and target customer’s preferences or aspirations

We have much evidence that branding can complement product consumption. In this study, 3-5 year olds were given identical food in McDonald’s branded containers or plain containers, and asked which version tasted better, indicating the McDonald’s-branded versions for 4 out of 5 foods. Brand preference increased with TV exposure and brand experience. Neuroscientists gave Coke or Pepsi to subjects in fMRI machines, reporting that “In the brand-cued experiment, brand knowledge for one of the drinks had a dramatic influence on expressed behavioral preferences and on the measured brain responses.”

One way Google tracks its own brand strength is to compare preference differentials in its own search results compared to Bing’s, vs. Bing’s results in Google’s format compared to Google’s results in Bing’s format. Brand dominates content in predicting preference

The vodka category proves that branding can create differentiation that relieves pricing pressure. It costs around $5 to make a low-end bottle of vodka, $15-17 on the high end

Liquid Death founder was a graphic designer at an ad agency who said his inspiration was watching festivalgoers reuse an energy drink can to drink water. What’s their margin on that water?

Meet the Patagonian Toothfish. This adorable little monster is a 6’ bottom feeder. What would you rename it if you want to start selling it in fancy restaurants?

Brand and performance ads differ in their time horizon, content, measurability, and optimizability. Which approach do you think is better?

We’ve been hearing takes like this for generations. Every new channel promises to replace brand advertising with something more measurable. So far brand keeps not being dead. Why not?

“Programmatic” means using technology to automate and optimize the ad buying process. Initially, these technologies were developed in the 2000s to allocate unsold ad inventory, but they are now at the top of the food chain

Programmatic advertising revenue basically doubled from 2019 to 2024. Similarity to Waymo driving (“the world’s most experienced driver”), Netflix recommendations, or Gmail spam filters: The more ads placed, the more successes and failures observed, the better the placement algorithms can get

Zuckerberg poses provocative questions. Do platforms still need advertisers to supply advertisements? Would you sign up to connect your bank account?
You might ideally want programmatic infrastructure to maximize causal sales lift, but it is not designed that way. Why do you think that is?

The ad tech tax feeds the ad tech ecosystem. The LUMAscape maps the ad tech supply chain. Each box represents a category of vendors working together to promise the “right ad, right person, right time”

Airbnb shifted from performance ads to brand ads, and said the shift paid off. Should other companies follow suit?

Airbnb’s ad agency argues that Airbnb’s high preference:consideration ratio justifies the shift to brand ads… but this viz looks funky

Most large companies run both brand campaigns and performance campaigns, but it is hard to determine the optimal split of advertising budget between them, as we don’t have great ways of establishing returns on brand campaigns

Weekly brand surveys (dots) and moving averages (lines), with weekly ad spend as columns. The 2010 accelerator recall hurt Toyota’s brand. Advertising increased afterward and brand attitudes slowly recovered

Coke’s brand metrics slipped as soda lost popularity. Huge Super Bowl ad-spend spikes – not much bounce in brand tracking

Apple’s brand turned upward in late 2010, after Apple introduced the iPad and started advertising more. Ad spending and product quality often correlate
We analyzed 10 million brand surveys and $264B in ad spend by 575 brands in 37 categories over 5 years. This was the largest observational analysis to date, suggesting that advertising is a prisoner’s dilemma game that incentivizes brands to over-invest
Large marketers usually use multiple methods in parallel. Each approach has known strengths and weaknesses. Ultimately the CFO and CMO decide what gets funded, and how results affect decisions
Brand and performance ads are substitutes in the short run and complements in the long run


out10
Do not re-optimize prices of S2 or A2 at any point. This is our most challenging competition of the quarter. We won’t ask something this hard on midterm 2.

